lecture 1 基础算法

模板

快速排序算法模板

——分治

②的实现

1)暴力——开辟额外空间:

2)双指针

void quick_sort(int q[], int l, int r)
{
if (l >= r) return;

int i = l - 1, j = r + 1, x = q[l];
while (i < j)
{
do i ++ ; while (q[i] < x);
do j -- ; while (q[j] > x);
if (i < j) swap(q[i], q[j]);
else break;
}
quick_sort(q, l, j), quick_sort(q, j + 1, r);
}

归并排序算法模板

void merge_sort(int q[], int l, int r)
{
if (l >= r) return;

int mid = l + r >> 1;
merge_sort(q, l, mid);
merge_sort(q, mid + 1, r);

int k = 0, i = l, j = mid + 1;
while (i <= mid && j <= r)
if (q[i] < q[j]) tmp[k ++ ] = q[i ++ ];
else tmp[k ++ ] = q[j ++ ];

while (i <= mid) tmp[k ++ ] = q[i ++ ];
while (j <= r) tmp[k ++ ] = q[j ++ ];

for (i = l, j = 0; i <= r; i ++, j ++ ) q[i] = tmp[j];
}

整数二分算法模板

单调性可以二分,题目不一定有单调性。两者无决定关系。

如果找到一个性质可以将整个区间一分为二,二分可寻找划分边界。

bool check(int x) {/* ... */} // 检查x是否满足某种性质

每次选择答案所在的区间进行下一步处理。直至区间长度为1。(二分一定有解,题目不一定有解。因为定义边界,二分能够算出中点。)

区间[l, r]被划分成[l, mid]和[mid + 1, r]时使用:

int bsearch_1(int l, int r)
{
while (l < r)
{
int mid = l + r >> 1;
if (check(mid)) r = mid; // check()判断mid是否满足性质
else l = mid + 1;
}
return l;
}

区间[l, r]被划分成[l, mid - 1]和[mid, r]时使用:

int bsearch_2(int l, int r)
{
while (l < r)
{
int mid = l + r + 1 >> 1;
if (check(mid)) l = mid;
else r = mid - 1;
}
return l;
}

浮点数二分算法模板

精度经验值 多2

保留6位小数 r-l > 1e-8

保留4位小数 r-l > 1e-6

保留5位小数 r-l > 1e-7

bool check(double x) {/* ... */} // 检查x是否满足某种性质
double bsearch_3(double l, double r)
{
const double eps = 1e-6; // eps 表示精度,取决于题目对精度的要求
while (r - l > eps)
{
double mid = (l + r) / 2;
if (check(mid)) r = mid;
else l = mid;
}
return l;
}

高精度加法

大整数存储

逆存,进位、高位补数更方便操作。

// C = A + B, A >= 0, B >= 0

vector<int> add(vector<int> &A, vector<int> &B)
{
if (A.size() < B.size()) return add(B, A);

vector<int> C;
int t = 0;
for (int i = 0; i < A.size(); i ++ )
{
t += A[i];
if (i < B.size()) t += B[i];
C.push_back(t % 10);
t /= 10;
}

if (t) C.push_back(t);
return C;
}

高精度减法

(需转为 A>=B)

若有负数,则两数相减A-B,一定可以转换成|A|-|B|或|A|+|B|,分情况讨论。

// C = A - B, 满足A >= B, A >= 0, B >= 0

vector<int> sub(vector<int> &A, vector<int> &B)
{
vector<int> C;
for (int i = 0, t = 0; i < A.size(); i ++ )
{
t = A[i] - t;
if (i < B.size()) t -= B[i];
C.push_back((t + 10) % 10);
if (t < 0) t = 1;
else t = 0;
}

while (C.size() > 1 && C.back() == 0) C.pop_back();
return C;
}

高精度乘低精度

// C = A * b, A >= 0, b > 0

vector<int> mul(vector<int> &A, int b)
{
vector<int> C;
int t = 0;
for (int i = 0; i < A.size() || t; i ++ )
{
if (i < A.size()) t += A[i] * b;
C.push_back(t % 10);
t /= 10;
}

return C;
}

高精度乘高精度——LeetCode43

高精度除以低精度

区别前者,从最高位开始算。

// A / b = C … r, A >= 0, b > 0

vector<int> div(vector<int> &A, int b, int &r)
{
vector<int> C;
r = 0;
for (int i = A.size() - 1; i >= 0; i -- )
{
r = r * 10 + A[i];
C.push_back(r / b);
r %= b;
}
reverse(C.begin(), C.end());
while (C.size() > 1 && C.back() == 0) C.pop_back();
return C;
}

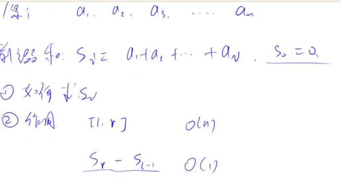
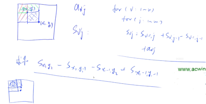
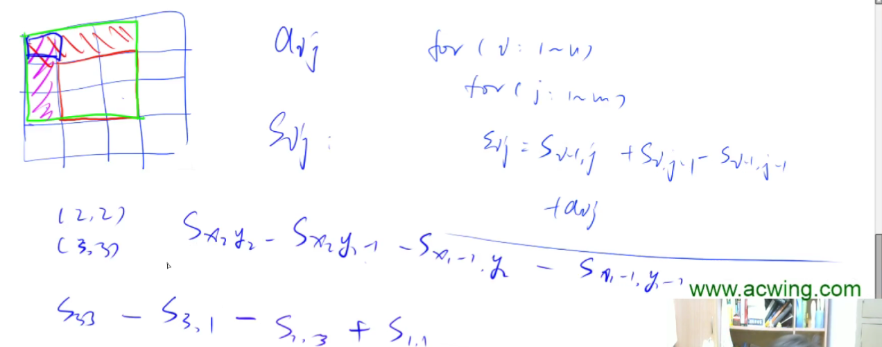
一维前缀和

S[i] = a[1] + a[2] + ... a[i]
a[l] + ... + a[r] = S[r] - S[l - 1]

二维前缀和

S[i, j] = 第i行j列格子左上部分所有元素的和
以(x1, y1)为左上角,(x2, y2)为右下角的子矩阵的和为 S[x2, y2] - S[x1 - 1, y2] - S[x2, y1 - 1] + S[x1 - 1, y1 - 1]

一维差分

完成+c ——> 只要O(1)时间去给原数组中间某一个连续区间全加一个固定值。

B[i] = a[i] - a[i - 1]
给区间[l, r]中的每个数加上c:B[l] += c, B[r + 1] -= c

二维差分

(a数组是b数组的前缀和)

给以(x1, y1)为左上角,(x2, y2)为右下角的子矩阵中的所有元素加上c:
S[x1, y1] += c, S[x2 + 1, y1] -= c, S[x1, y2 + 1] -= c, S[x2 + 1, y2 + 1] += c

双指针

for (int i = 0, j = 0; i < n; i ++ )
{
while (j < i && check(i, j)) j ++ ;
// 具体问题的逻辑
}
常见问题分类:
(1) 对于一个序列,用两个指针维护一段区间
(2) 对于两个序列,维护某种次序,比如归并排序中合并两个有序序列的操作

位运算

10

for(int k = 3;k >= 0;k–) cout << (n>>k&1)<<endl;

1010

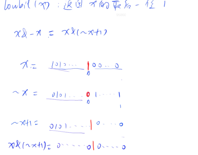
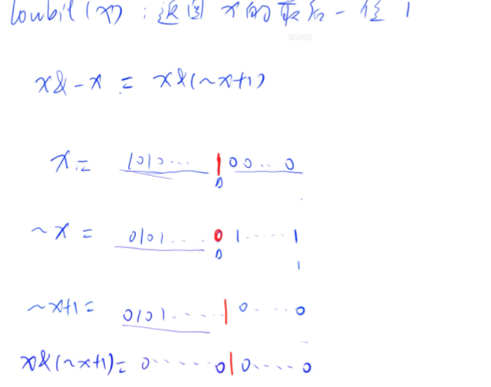
lowbit(x)

0000 0011=3,它的相反数为-3=1000 0011,但0000 0011 + 1000 0011 != 0000 0000。计算机就引入了补码,相当于上面的相反数的表示。将人容易理解的二进制称为原码,计算机实际使用时用的是补码。正数的补码就是自己,负数的补码为按位取反加1

对于1000 0011来说,若其为原码,则表示-3;若其为补码,则表示(-1)2^7 + 12^1 + 1*2^0 = -125。

应用:求x里面1的个数。

求n的第k位数字: n >> k & 1
返回n的最后一位1lowbit(n) = n & -n

离散化

vector<int> alls; // 存储所有待离散化的值
sort(alls.begin(), alls.end()); // 将所有值排序
alls.erase(unique(alls.begin(), alls.end()), alls.end()); // 去掉重复元素

// 二分求出x对应的离散化的值
int find(int x)
{
int l = 0, r = alls.size() - 1;
while (l < r)
{
int mid = l + r >> 1;
if (alls[mid] >= x) r = mid;
else l = mid + 1;
}
return r + 1;
}

区间合并

// 将所有存在交集的区间合并
void merge(vector<PII> &segs)
{
vector<PII> res;

sort(segs.begin(), segs.end());

int st = -2e9, ed = -2e9;
for (auto seg : segs)
if (ed < seg.first)
{
if (st != -2e9) res.push_back({st, ed});
st = seg.first, ed = seg.second;
}
else ed = max(ed, seg.second);

if (st != -2e9) res.push_back({st, ed});

segs = res;
}

题目

快速排序

AcWing 785. 快排实例

输入

5
3 1 2 4 5

解析

注意边界问题。下面用j,上面不能取到 q[r]。下面用i,上面不能取到 q[l],可能出现 ∅和[0,1]的死循环。可以用q[r]或q[(l+r)/2]。


#include <iostream>
using namespace std;

const int N = 1e6+10;
int n;
int q[N];

void quick_sort(int l,int r)
{
if(l >= r) return; ////补等于号
int x = q[(l+r)/2],i = l-1,j = r+1; //x应当固定q
while(i < j)
{
do i++;while(q[i]<x);
do j--;while(q[j]>x);
if(i < j) swap(q[i],q[j]);
}
quick_sort(l,j);
quick_sort(j+1,r);
}

int main()
{
scanf("%d", &n);
for (int i = 0; i < n; i ++ ) scanf("%d", &q[i]);

quick_sort(0,n-1);

for (int i = 0; i < n; i ++ ) printf("%d ",q[i]);
return 0;
}

改进的快排

#include <bits/stdc++.h>
using namespace std;

const int N = 1e6+10;
int n;

void swap(vector<int>& arr, int i, int j)
{
int tmp = arr[i];
arr[i] = arr[j];
arr[j] = tmp;
}

vector<int> partiton(vector<int>& arr, int l, int r) //荷兰国旗问题
{
int less = l - 1;
int more = r;
while (l<more)
{
if (arr[l] < arr[r])
{
swap(arr, ++less, l++);
}
else if (arr[l] > arr[r])
{
swap(arr, --more, l);
}
else
{
l++;
}
}
swap(arr, more, r); //默认以arr[r]做划分,不可遗漏最后一位数!
return { less + 1,more };
}

void quickSort(vector<int>& arr, int l, int r) //改进的快排,随机取数字做划分值
{
if (l < r)
{
swap(arr, l + rand() % (r - l + 1), r);
vector<int>p = partiton(arr, l, r); //返回划分区域(如[5 5 5])的左边界和右边界
quickSort(arr, l, p[0] - 1); //<区
quickSort(arr, p[1] + 1, r); //>区
}
}

int main()
{
scanf("%d", &n);
vector<int> q(n);
for (int i = 0; i < n; i ++ ) scanf("%d", &q[i]);

quickSort(q,0,n-1);

for (int i = 0; i < n; i ++ ) printf("%d ",q[i]);
return 0;
}

AcWing 786. 第k个数

输入

5 3
2 4 1 5 3

输出

3

解析

#include<bits/stdc++.h>
using namespace std;

void quick_sort(vector<int>&q,int l,int r)
{
while(l >= r) return;
int x = q[l+(r-l>>1)],i = l-1,j =r+1; //注意(r-l>>1)括号位置。
while(i < j)
{
do ++i;while(q[i]<x);
do --j;while(q[j]>x);
if(i < j) swap(q[i],q[j]);
}
quick_sort(q,l,j);
quick_sort(q,j+1,r);

}

int main()
{
int n,k;
scanf("%d%d", &n, &k);
vector<int>q(n);
for(int i = 0;i < n;++i) scanf("%d", &q[i]);
quick_sort(q,0,n-1);
printf("%d",q[k-1]);
return 0;
}

3.png
降低复杂度。若左边数量已大于k,则只对左边进行排序;否则对右边。分治

#include <iostream>
#include <cstring>
#include <algorithm>
// #include<bits/stdc++.h>
using namespace std;
const int N = 100010;
int n,k;
int q[N];

int quick_sort(int q[],int l,int r,int k)
{
if(l >= r) // if(l == r)
return q[l];
int x = q[(l+r)>>1],i = l-1,j = r+1;
while(i < j)
{
do ++i;while(q[i] < x); //while(q[++i] < x)
do --j;while(q[j] > x); //while(q[--j] > x)
if(i < j) swap(q[i],q[j]);
}
int sl = j - l + 1;
if(k <= sl) quick_sort(q,l,j,k);
else return quick_sort(q,j+1,r,k-sl);
}

int main()
{
scanf("%d%d",&n,&k);
for (int i = 0; i < n; i ++ ) scanf("%d",&q[i]);
cout << quick_sort(q,0,n-1,k)<<endl;

return 0;
}

归并排序

AcWing 787. 归并排序

输入

5
3 1 2 4 5

输出

1 2 3 4 5

解析

归并排序:
1.确定分界点
2.递归排序
3.归并————合二为一

#include<bits/stdc++.h>
using namespace std;
int n;
int N = 100010;
vector<int>tmp(N);
vector<int>q(N);
void merge_sort(vector<int>&q,int l,int r) //闭区间
{
if(l >= r) return;
int mid = l+(r-l>>1); //或 l+r>>1
merge_sort(q,l,mid);
merge_sort(q,mid+1,r);

int k = 0,i = l,j = mid+1;
while(i <= mid && j <= r)
{
if(q[i] < q[j]) tmp[k++] = q[i++];
else tmp[k++] = q[j++];
}
while(i <= mid) tmp[k++] = q[i++];
while(j <= r) tmp[k++] = q[j++];
for (int i = l,j = 0; i <= r; i ++,j++ ) q[i] = tmp[j]; //注意q[i]条件
}
int main()
{
scanf("%d", &n);
for (int i = 0; i < n; i ++ ) scanf("%d", &q[i]);

merge_sort(q,0,n-1);

for (int i = 0; i < n; i ++ ) printf("%d ",q[i]);
}

AcWing 788. 逆序对的数量

输入

6
2 3 4 5 6 1

输出

5

解析

4.png
4 5 6 | 1 2 3
当你发现 4 比 3 大的时候,也就是说右边最大的元素都小于左边最小的元素,那么左边剩下的5和6都必然比右边的所有元素大。因此就可以不用数5和6的情形了,直接分别加上右半边的元素个数就可以了,这一步就降低到了O(n)
即 位置6(mid) - 位置4(i) + 1。为3的情况。

#include <iostream>
#include <cstring>
#include <algorithm>
using namespace std;

const int N = 100010;
int n;
int q[N];
int tmp[N];
unsigned long res = 0; //int则溢出

void merge_sort(int q[],int l,int r)
{
if(l >= r) return;
int mid = l+r >> 1;

merge_sort(q,l,mid);
merge_sort(q,mid+1,r);

int k = 0,i = l,j = mid+1;

while(i <= mid && j <= r)
{
if(q[i] <= q[j]) tmp[k++] = q[i++];
else
{
tmp[k++] = q[j++];
res +=( mid - i + 1); //逆序对对比归并排序只加了这一句。 //是i,非l
}
}
while(i <= mid) tmp[k++] = q[i++];
while(j <= r) tmp[k++] = q[j++];

for (int i = l,j = 0; i <= r; i ++,j++ ) q[i] = tmp[j];
}

int main()
{
scanf("%d", &n);
for (int i = 0; i < n; i ++ ) scanf("%d",&q[i]);

merge_sort(q,0,n-1);

cout<<res<<endl;

return 0;
}

二分

AcWing 789. 数的范围

输入样例

6 3
1 2 2 3 3 4
3
4
5

输出样例

3 4
5 5
-1 -1

解析

#include <iostream>
#include <cstring>
#include <algorithm>
using namespace std;

const int N = 100010;
int n,k;
int q[N];

int main()
{
scanf("%d%d",&n,&k);
for (int i = 0; i < n; i ++ ) scanf("%d",&q[i]);

while(k --)
{
int x;
scanf("%d", &x);

int l = 0,r = n-1;
while(l < r)
{
int mid = l+r >> 1;
if(q[mid] >= x) r = mid; //注意是q[mid]而非mid
else l = mid+1;
}
if(q[l]!=x) cout<<"-1 -1"<<endl;
else
{
cout << l <<' ';

int l = 0,r = n-1;
while(l <r)
{
int mid = l+r+1 >> 1;
if(q[mid] <= x) l = mid;
else r = mid-1;
}
cout<< l << endl;
}
}
return 0;
}


另:
二分应用
0~n-1中缺失的数字

int l = 0,r = nums.size()-1;
while(l <= r)
{
int mid = l+r>>1;
if(nums[mid]==mid) l = mid+1;
else r = mid-1; //这里减一,while内加 = 不再死循环
}

亦可

int l = 0,r = nums.size();      //-1是不会执行循环的
while(l < r)
{
int mid = l+r>>1;
if(nums[mid]==mid) l = mid+1;
else r = mid;
}

AcWing 790. 数的三次方根

输入样例

1000.00

输出样例

10.000000

解析

#include <iostream>
#include <cstring>
#include <algorithm>
using namespace std;

int main()
{
double n;
scanf("%lf", &n);
double l = -100.0,r = 100.0; //r不为n,负数情况下结果大于n
while(r - l > 1e-8)
{
double mid = (r+l)/2;
if((mid*mid*mid) >= n) r = mid;
else l = mid; //结合while条件,此情况无需加1
}
printf("%.6lf",l);
return 0;
}

高精度

AcWing 791. 高精度加法

输入样例

12
23

输出样例

35

解析

#include <iostream>
#include <cstring>
#include <algorithm>
#include <vector>
using namespace std;
const int N = 100010;

vector<int> add(vector<int>&A,vector<int>&B)
{
vector<int> C;
int t = 0;
for(int i = 0;i < A.size()||i < B.size();++i)
{
if(i < A.size()) t += A[i];
if(i < B.size()) t += B[i];
C.push_back(t % 10);
t /= 10;
}
if(t) C.push_back(1);
return C;
}

int main()
{
string a,b;
cin >> a >> b;
vector<int>A,B;
for(int i = a.size()-1;i >= 0;--i) A.push_back(a[i] - '0'); //不要忘了-'0',字符--> 数字
for(int i = b.size()-1;i >= 0;--i) B.push_back(b[i] - '0');
auto C = add(A,B);
for(int i = C.size()-1;i >= 0;--i) printf("%d",C[i]);
return 0;
}

AcWing 792. 高精度减法

输入样例

32
11

输出样例

21

解析

两者都是正整数的情况,需转为 A>=B。若有负数,则两数相减A-B,一定可以转换成**|A|-|B||A|+|B|**,分情况讨论。

#include "bits/stdc++.h"
using namespace std;

//判断是否 A>=B
bool cmp(vector<int>&A,vector<int>&B)
{
if(A.size() != B.size()) return A.size()>B.size();
for(int i = A.size()-1;i >=0;--i)
{
if(A[i]!=B[i])
return A[i]>B[i];
}
return true;
}

//C = A - B
vector<int> sub(vector<int>&A,vector<int>&B)
{
vector<int>C;
for(int i = 0,t = 0;i < A.size();++i)
{
t = A[i] - t;
if(i < B.size()) t -= B[i];
C.push_back((t+10)%10);
if(t < 0) t = 1;
else t = 0;
}
//删除前导0
while(C.size()>1&&C.back()==0) C.pop_back();
return C;
}

int main()
{
string a,b;
vector<int>A,B;
cin >> a >> b;
for(int i = a.size()-1;i >= 0;--i) A.push_back(a[i] - '0'); //不要忘记-'0',字符-->数字
for(int i = b.size()-1;i >= 0;--i) B.push_back(b[i] - '0');

if(cmp(A,B))
{
auto C = sub(A,B);
for(int i = C.size()-1;i >= 0;--i) printf("%d",C[i]);
}
else
{
auto C = sub(B,A);
printf("-"); //记得加符号
for(int i = C.size()-1;i >= 0;--i) printf("%d",C[i]);
}
}

AcWing 793. 高精度乘法

输入样例

2
3

输出样例

6

解析

精度乘精度
图片1.png

#include "bits/stdc++.h"
using namespace std;

vector<int> mul(vector<int>&A,int b)
{
vector<int>C;
int t = 0;
for(int i = 0;i < A.size() || t;++i)
{
if(i < A.size()) t += A[i]*b;
C.push_back(t % 10);
t /= 10;
}
while(C.size()>1&&C.back()==0) C.pop_back(); //去除前导0
return C;
}

int main()
{
string a;
int b;
cin >> a >> b;
vector<int>A;
for(int i = a.size()-1;i >= 0;--i) A.push_back(a[i] -'0');
auto C = mul(A,b);
for(int i = C.size()-1;i >= 0;--i) printf("%d",C[i]);
return 0;
}

精度乘以精度 参考LeetCode-43
1627700273-JdpAic-image.png

#include<bits/stdc++.h>
using namespace std;
string a,b;

vector<int> mul(vector<int>&A,vector<int>&B)
{
int len1 = A.size(),len2 = B.size();
vector<int>C(len1+len2);
for(int i = 0;i < len1;++i)
{
for(int j = 0;j < len2;++j)
{
C[i+j] += A[i]*B[j];
}
}
int t = 0;
for(int i = 0;i < C.size();++i)
{
t += C[i];
C[i] = t % 10;
t /= 10;
}
while(C.size()>1 && C.back() == 0) C.pop_back();
return C;
}

int main()
{
cin >> a >> b;
vector<int>A,B;
for(int i = a.size()-1;i >= 0;--i) A.push_back(a[i]-'0');
for(int i = b.size()-1;i >= 0;--i) B.push_back(b[i]- '0');
auto C = mul(A,B);
for(int i = C.size()-1;i >= 0;--i) printf("%d",C[i]);
return 0;
}

AcWing 794. 高精度除法

输入样例

7
2

输出样例

3
1

解析

区别前者,从最高位开始算。也可以不用从后往前存,此处为统一操作都从后向前存。

#include "bits/stdc++.h"
using namespace std;

// A/b,商为C,余数是r
vector<int> div(vector<int>&A,int &b,int &r)
{
vector<int> C; //商
r = 0;
for(int i = A.size()-1;i >= 0;--i)
{
r = r*10 + A[i];
C.push_back(r/b);
r %= b;
}
reverse(C.begin(),C.end());
while(C.size()>1&&C.back()==0) C.pop_back();
return C;
}

int main()
{
string a;
int b;
cin >> a >> b;
vector<int> A;
for(int i = a.size()-1;i >= 0;--i) A.push_back(a[i] - '0');
int r = 0;
auto C = div(A,b,r);
for(int i = C.size()-1;i >=0;--i) printf("%d",C[i]);
cout<<endl<<r<<endl;
}

前缀和与差分

AcWing 795. 前缀和

输入样例

5 3
2 1 3 6 4
1 2
1 3
2 4

输出样例

3
6
10

解析

做题的时候一般使用 scanf printf
cin 和 cout 比 scanf printf 慢的多。因为cin cout与stdin stdout总是保持同步,这个兼容性的特性,导致 cin 有许多额外开销。
ios::sync_with_stdio(false);这条语句作用是关掉scanf 和cin 的同步,加快效率;劣势是scanf和cin 无法混用。


#include<bits/stdc++.h>
using namespace std;

const int N = 100010;
int n,m,q[N],s[N];

int main()
{
//ios::sync_with_stdio(false);

scanf("%d%d",&n,&m);
for (int i = 1; i <= n; i ++ ) scanf("%d",&q[i]);

for(int i = 1;i <= n; i ++ ) s[i] = s[i-1] + q[i];

while (m -- )
{
int l,r;
scanf("%d%d", &l, &r);
printf("%d\n",s[r]-s[l-1]);
}
return 0;
}

5.png
1.预处理前缀和数组
2.用公式求区间和

有f(i-1)等 -1 的操作一般循环从 1 开始。

AcWing 796. 子矩阵的和

输入样例

3 4 3
1 7 2 4
3 6 2 8
2 1 2 3
1 1 2 2
2 1 3 4
1 3 3 4

输出样例

17
27
21

解析

下标从 1 开始
微信图片_20210915214026.png

#include<bits/stdc++.h>
using namespace std;
int n,m,q;
const int N = 1010;
int a[N][N],s[N][N];
int main()
{
scanf("%d%d%d", &n, &m,&q);
for(int i = 1;i <= n;++i)
{
for(int j = 1;j <= m;++j)
{
scanf("%d", &a[i][j]);
}
}
for(int i = 1;i <= n;++i)
{
for(int j = 1;j <= m;++j)
{
s[i][j] = s[i-1][j]+s[i][j-1]-s[i-1][j-1]+a[i][j]; //求前缀和
}
}
while (q -- )
{
int x1,y1,x2,y2;
scanf("%d%d%d%d",&x1,&y1,&x2,&y2);
printf("%d\n",s[x2][y2]-s[x2][y1-1]-s[x1-1][y2]+s[x1-1][y1-1]); //算子矩阵
}
return 0;
}

(习题课)
2
1

AcWing 797. 差分

输入一个长度为 n 的整数序列。

接下来输入 m 个操作,每个操作包含三个整数 l,r,c,表示将序列中 [l,r] 之间的每个数加上 c。

输入样例

6 3
1 2 2 1 2 1
1 3 1
3 5 1
1 6 1

输出样例

3 4 5 3 4 2

解析

差分无需专门考虑构造问题,考虑如何 更新 即可。构造与修改操作可统一

#include<bits/stdc++.h>
using namespace std;
const int N = 100010;
int n,m;
int a[N],b[N];

void insert(int l,int r,int c)
{
b[l] += c;
b[r+1] -= c;
}

int main()
{
scanf("%d%d", &n, &m);
for(int i = 1;i <= n;++i) scanf("%d",&a[i]);

for(int i = 1;i <= n;++i) insert(i,i,a[i]); //构造b[i]矩阵(差分)

while (m -- )
{
int l,r,c;
scanf("%d%d%d", &l, &r,&c);
insert(l,r,c);
}

for(int i = 1;i <= n;++i) b[i] += b[i-1]; //前缀和计算(原数组) 或 a[i] = a[i-1] + b[i]

for(int i = 1;i <= n;++i) printf("%d ",b[i]); //接上 或 a[i]

return 0;
}

(习题课)
8.png
构造同 [1,1] a1 [2,2] a2 …

AcWing 798. 差分矩阵

输入一个 n 行 m 列的整数矩阵,再输入 q 个操作,每个操作包含五个整数 x1,y1,x2,y2,c,其中 (x1,y1) 和 (x2,y2) 表示一个子矩阵的左上角坐标和右下角坐标。

每个操作都要将选中的子矩阵中的每个元素的值加上 c。

输入样例

3 4 3
1 2 2 1
3 2 2 1
1 1 1 1
1 1 2 2 1
1 3 2 3 2
3 1 3 4 1

输出样例

2 3 4 1
4 3 4 1
2 2 2 2

解析

2.png

#include<bits/stdc++.h>
using namespace std;
const int N = 1010;
int n,m,q;
int a[N][N],b[N][N];

void insert(int x1,int y1,int x2,int y2,int c)
{
b[x1][y1] += c;
b[x2+1][y1] -= c;
b[x1][y2+1] -= c;
b[x2+1][y2+1] += c;
}

int main()
{
scanf("%d%d%d",&n,&m,&q);
for(int i = 1;i <= n;++i)
for(int j = 1;j <= m;++j)
scanf("%d",&a[i][j]);
for(int i = 1;i <= n;++i)
for(int j = 1;j <= m;++j)
insert(i,j,i,j,a[i][j]);

while(q -- )
{
int x1,y1,x2,y2,c;
scanf("%d%d%d%d%d",&x1,&y1,&x2,&y2,&c);
insert(x1,y1,x2,y2,c);
}

for(int i = 1;i <= n;++i)
{
for(int j = 1;j <= m;++j)
{
b[i][j] += b[i-1][j] + b[i][j-1] - b[i-1][j-1];
}
}

for(int i = 1;i <= n;++i)
{
for(int j = 1;j <= m;++j)
{
printf("%d ",b[i][j]);
}
puts("");
}
return 0;
}

(习题课)
10.png

双指针算法

AcWing 799. 最长连续不重复子序列

给定一个长度为 n 的整数序列,请找出最长的不包含重复的数的连续区间,输出它的长度。

输入样例

5
1 2 2 3 5

输出样例

3

解析

1 2 2 3 5
——i
j
s[a[j]]–; //除去1
**j++; ** //j右移

#include<bits/stdc++.h>
using namespace std;

const int N = 100010;
int n,a[N],s[N];

int main()
{
scanf("%d", &n);
for(int i = 0;i < n;++i) scanf("%d",&a[i]);
int res = 0;
for(int i = 0,j = 0;i < n;++i)
{
s[a[i]] ++;
while(j < i && s[a[i]] > 1) //注意是 s[a[i]] > 1 i
{
s[a[j]] -- ; //注意是 s[a[j]]-- j
j ++;
}
res = max(res,i-j+1);
}
cout<<res<<endl;
return 0;
}

AcWing 800. 数组元素的目标和

给定两个升序排序的有序数组 A 和 B,以及一个目标值 x。数组下标从 0 开始。求出满足 A[i]+B[j]=x 的数对 (i,j)。数据保证有唯一解。

输入样例

4 5 6
1 2 4 7
3 4 6 8 9

输出样例

1 1

解析

#include<bits/stdc++.h>
using namespace std;
const int N = 100010;
int a[N],b[N];
int n,m,x;
int main()
{
cin >> n >> m >> x;
for (int i = 0; i < n; i ++ ) scanf("%d",&a[i]);
for (int i = 0; i < m; i ++ ) scanf("%d",&b[i]);

for(int i = 0,j = m-1;i < n;++i)
{
while(j >= 0 && a[i]+b[j] > x) j--;
if(j >= 0 && a[i] + b[j] == x) cout << i << ' ' << j << endl;
}
return 0;
}

双指针时间复杂度 O(n+m)
如果题有多个答案,不能用双指针,复杂度为O(nm)。

AcWing 2816. 判断子序列

给定一个长度为 n 的整数序列 a1,a2,…,an 以及一个长度为 m 的整数序列 b1,b2,…,bm。判断 a 序列是否为 b 序列的子序列。子序列指序列的一部分项按原有次序排列而得的序列,例如序列 {a1,a3,a5} 是序列 {a1,a2,a3,a4,a5} 的一个子序列。

输入样例

3 5
1 3 5
1 2 3 4 5

输出样例

Yes

解析

#include<bits/stdc++.h>
using namespace std;
const int N = 100010;
int a[N],b[N];
int n,m;
int main()
{
cin >> n >> m;

for (int i = 0; i < n; i ++ ) scanf("%d",&a[i]);
for (int i = 0; i < m; i ++ ) scanf("%d",&b[i]);

int i = 0,j = 0;
while(i < n && j < m)
{
if(a[i] == b[j]) i++;
j++;
}
if(i == n) puts("Yes");
else puts("No");
return 0;
}

位运算

AcWing 801. 二进制中1的个数

给定一个长度为 n 的数列,请你求出数列中每个数的二进制表示中 1 的个数。

输入样例

5
1 2 3 4 5

输出样例

1 1 2 1 2

解析

1.求 n 第 k 位数字:n>>k&1
2.返回 n 最后一位1:lowbit(n) = n & -n

#include<bits/stdc++.h>
using namespace std;

int lowbit(int &x)
{
return x&(-x);
}

int main()
{
int n;
cin >> n;
while (n -- )
{
int x;
cin >> x;
int res = 0;
while(x) x -= lowbit(x),res++;
cout << res << ' ';
}
return 0;
}

112301.png

10
for(int k = 3;k >= 0;k–) cout << (n>>k&1)<<endl;
1010

lowbit(x)
112302.png

0000 0011=3,它的相反数为-3=1000 0011,但0000 0011 + 1000 0011 != 0000 0000。计算机就引入了补码,相当于上面的相反数的表示。将人容易理解的二进制称为原码,计算机实际使用时用的是补码。正数的补码就是自己,负数的补码为按位取反加1
对于1000 0011来说,若其为原码,则表示-3;若其为补码,则表示(-1)2^7 + 12^1 + 1*2^0 = -125。
应用:求x里面1的个数。

离散化

AcWing 802. 区间和

假定有一个无限长的数轴,数轴上每个坐标上的数都是 0。现在,我们首先进行 n 次操作,每次操作将某一位置 x 上的数加 c。接下来,进行 m 次询问,每个询问包含两个整数 l 和 r,你需要求出在区间 [l,r] 之间的所有数的和。

输入样例

3 3
1 2
3 6
7 5
1 3
4 6
7 8

输出样例

8
0
5

解析

总共 2×10^9 个数,但最多只使用 3×10^5。故开三十万:
QQ图片20211012124535.png
基本做法:
QQ图片20211016120845.png

#include<bits/stdc++.h>
using namespace std;
const int N = 300010;
int n,m;
int a[N],s[N]; //a[N]为存的数。s[N]为前缀和
vector<int>alls; //存的所有要离散化的值

typedef pair<int, int> PII;
vector<PII> add,query; //插入操作。求操作


int find(int x) //用于求 x 离散化的结果
{
int l = 0,r = alls.size()-1;
while(l < r)
{
int mid = l+r>>1;
if(alls[mid] >= x) r = mid; //>=x最小的数
else l = mid+1;
}
return r+1; //映射的数值为从1开始的自然数。方便前缀和运算
//若不想写二分,可以写lower_board
//return lower_board(alls.begin(),alls.end(),x) - alls.begin() + 1;
}

int main()
{
cin >> n >> m;
//先把所有要操作的数先读进来,将其中用到的下标离散化
for (int i = 0; i < n; i ++ )
{
int x,c;
cin >> x >> c;
add.push_back({x,c});

alls.push_back(x);
}
//读入所有的左右区间
for(int i = 0;i < m;++i)
{
int l,r;
cin >> l >> r;
query.push_back({l,r});
//区间两个端点都应该离散化
alls.push_back(l);
alls.push_back(r);
}
//至此,所有需要用到下标皆已存。下一步 去重
sort(alls.begin(),alls.end());
alls.erase(unique(alls.begin(),alls.end()),alls.end());

//处理插入
for(auto item:add)
{
int x = find(item.first);
a[x] += item.second; //在离散化后的坐标位置上加上要加的数
}

//预处理前缀和
for (int i = 1; i <= alls.size(); i ++ )
{
s[i] = s[i-1]+a[i];
}

//处理询问
for(auto item:query)
{
int l = find(item.first),r = find(item.second);
cout << s[r] - s[l-1] << endl;
}

return 0;
}

unique的实现:
4.png
双指针
5.png

区间合并

AcWing 803. 区间合并

给定 n 个区间 [li,ri],要求合并所有有交集的区间。注意如果在端点处相交,也算有交集。输出合并完成后的区间个数。例如:[1,3] 和 [2,6] 可以合并为一个区间 [1,6]。

输入样例

5
1 2
2 4
5 6
7 8
7 9

输出样例

3

解析

1.png
2.png
pair在sort时优先左端点排序,再右端点排序

#include<bits/stdc++.h>
using namespace std;
typedef pair<int, int> PII;

vector<PII>segs;

void merge(vector<PII>&segs)
{
vector<PII>res;
sort(segs.begin(),segs.end());
int st = -2e9,ed = -2e9; //起始维护值
for(auto seg:segs)
{
if(ed < seg.first)
{
if(st!=-2e9) res.push_back({st,ed});
st = seg.first, ed = seg.second;
}
else ed = max(ed,seg.second);
}
if(st!=-2e9) res.push_back({st,ed}); //加上最后一次
segs = res;
}

int main()
{
int n;
cin >> n;
for (int i = 0; i < n; i ++ )
{
int l,r;
cin >> l >> r;
segs.push_back({l,r});
}
merge(segs);
cout << segs.size() <<endl;
}

chapter 1 END。