lecture 3 搜索与图论

DFS

BFS&DFS

int dfs(int u)
{
st[u] = true; // st[u] 表示点u已经被遍历过

for (int i = h[u]; i != -1; i = ne[i])
{
int j = e[i];
if (!st[j]) dfs(j);
}
}

842. 排列数字 - AcWing题库

给定一个整数 n,将数字 1∼n 排成一排,将会有很多种排列方法。现在,请你按照字典序将所有的排列方法输出。

输入样例

3

输出样例

1 2 3
1 3 2
2 1 3
2 3 1
3 1 2
3 2 1

解析

DFS:此题 “暴搜” ,首先应考虑以什么样的 顺序 搜索。

if(n == 3)

DFS

DFS

注:

  1. 每一次只会存当前路径,回溯的时候系统即已释放。
  2. 回溯之后记得 恢复现场
#include<bits/stdc++.h>
using namespace std;
const int N = 10;
int n,path[N],st[N];

void dfs(int u)
{
if(u > n)
{
for(int i = 1;i <= n;++i) printf("%d ",path[i]);
puts("");
return;
}
for(int i = 1;i <= n;++i)
{
if(!st[i])
{
st[i] = 1;
path[u] = i;
dfs(u+1);
// path[u] = 0; //可不用恢复,自动覆盖
st[i] = 0;
}
}
}

int main()
{
scanf("%d", &n);
dfs(1);
return 0;
}

//或者 结合位运算判别是否已选
#include<bits/stdc++.h>
using namespace std;
const int N = 10;
int n,path[N];

void dfs(int u,int state)
{
if(u > n)
{
for(int i = 1;i <= n;++i) printf("%d ",path[i]);
puts("");
return;
}
for (int i = 1; i <= n; i ++ )
if (!(state >> i & 1))
//考虑state的二进制表示,如果第i位是1,表示当前数已经被用过了,否则表示没被用过。所以如果i已经被用过了,则需要跳过。
//state不是数组,在每层里面没有修改过state,相当于st[i]在回溯之后就自动变成false了。
{
path[u] = i ;
dfs(u + 1, state + (1 << i));
}
}

int main()
{
scanf("%d", &n);
dfs(1,1);
return 0;
}

843. n-皇后问题 - AcWing题库

n−皇后问题是指将 n 个皇后放在 n×n 的国际象棋棋盘上,使得皇后不能相互攻击到,即任意两个皇后都不能处于同一行、同一列或同一斜线上。现在给定整数 n,请你输出所有的满足条件的棋子摆法。

输入样例

4

输出样例

.Q..
...Q
Q...
..Q.

..Q.
Q...
...Q
.Q..

解析

剪枝:如若当前方案已不可行,不必再往下搜。

两条对角线(对角线长度为2n-1):

dg&udg

对角线:

对角线

为了防止y-x为复数,再加上 n

第一种搜索顺序

//按行枚举,保证每行只有一个,无需row
//u表示第u行,i表示第i列
#include<bits/stdc++.h>
using namespace std;
const int N = 20;
int n;
char g[N][N];
bool col[N],dg[N],udg[N];

void dfs(int u)
{
if(u == n)
{
for(int i = 0;i < n;++i)
{
for(int j = 0;j < n;++j)
{
printf("%c",g[i][j]);
}
puts("");
}
puts("");
}

for(int i = 0;i < n;++i)
{
if(!col[i] && !dg[u+i] && !udg[u-i+n])
{
g[u][i] = 'Q';
col[i] = dg[u+i] = udg[u-i+n] = true;
dfs(u+1);
//恢复
g[u][i] = '.';
col[i] = dg[u+i] = udg[u-i+n] = false;
}
}

}

int main()
{
cin >> n;
for(int i = 0;i < n;++i)
{
for(int j = 0;j < n;++j)
{
g[i][j] = '.';
}
}
dfs(0);
return 0;
}

第二种搜索顺序

比起上述提炼行优化,此法更原始。结合行逐项来考虑,也可以写成如下。

n皇后

x y 为坐标,s 为皇后。每次枚举完当前格子,转移到下一个格子,一行最后一格换行。

x = n 即枚举完最后一行,停止。如果摆了n个皇后,输出。

//(DFS按每个元素枚举)时间复杂度O(2^n^2),比前一种方法略复杂。
//时间复杂度分析:每个位置都有两种情况,总共有 n^2 个位置
#include<bits/stdc++.h>
using namespace std;
const int N = 20;
int n;
char g[N][N];
int row[N],col[N],dg[N],udg[N];

void dfs(int x,int y,int s) // s表示已经放上去的皇后个数
{
if(y == n) y = 0,x++;

if(x == n){ // x==n说明已枚举完n^2个位置
if(s == n){ // s==n说明成功放上去n个皇后
for(int i = 0;i < n;++i){
for(int j = 0;j < n;++j){
printf("%c",g[i][j]);
}
puts("");
}
}
return;
}

// 分支1:放皇后
if(!row[x] && !col[y] && !dg[y - x + n] && !udg[y + x]){
g[x][y] = 'Q';
row[x] = col[y] = dg[y-x+n] = udg[y+x] = true;
dfs(x,y+1,s+1);
row[x] = col[y] = dg[y-x+n] = udg[y+x] = false;
g[x][y] = '.';
}

// 分支2:不放皇后
dfs(x, y + 1, s);
}

int main()
{
scanf("%d", &n);
for(int i = 0;i < n;++i)
{
for(int j = 0;j < n;++j)
{
g[i][j] = '.';
}
}

dfs(0,0,0);
return 0;
}

BFS

“有最短路”:搜到的点离当前越来越远(前提是权重一致)。

//1.初识赋值队头
queue<int> q;
st[1] = true; // 表示1号点已经被遍历过
q.push(1);

//2.只要队不为空
while (q.size())
{
int t = q.front();
q.pop();
//3.扩展队头
for (int i = h[t]; i != -1; i = ne[i])
{
int j = e[i];
if (!s[j])
{
st[j] = true; // 表示点j已经被遍历过
q.push(j);
}
}
}

844. 走迷宫 - AcWing题库

给定一个 n×m 的二维整数数组,用来表示一个迷宫,数组中只包含 0 或 1,其中 0 表示可以走的路,1 表示不可通过的墙壁。

输入样例

5 5
0 1 0 0 0
0 1 0 1 0
0 0 0 0 0
0 1 1 1 0
0 0 0 1 0

输出样例

8

解析

走迷宫

由于终点在第 8 层扩展到,故其路程即为 8 。

四点扩展:

四点扩展

//g存了图
//d表示每个点到起点的距离。
//可以用向量 dx 来表示四点扩展。
//d[x][y] = -1。第一次走过才算最短距离,否则就不算。
#include<bits/stdc++.h>
using namespace std;
const int N = 110;
int n,m,g[N][N],d[N][N];
typedef pair<int, int> PII;
PII q[N*N]; //手写队列

int bfs()
{
int hh = 0,tt = 0;
q[0] = {0,0};
memset(d, -1, sizeof d);
d[0][0] = 0;
int dx[4] = {-1, 0, 1, 0}, dy[4] = {0, 1, 0, -1}; //四点扩展
while(hh <= tt){
auto t = q[hh++];
for(int i = 0;i < 4;++i){
int x = t.first + dx[i] ,y = t.second + dy[i];
if(x >= 0 && x < n && y >= 0 && y < m && g[x][y] == 0 && d[x][y] == -1){
d[x][y] = d[t.first][t.second] + 1;
q[++tt] = {x,y};
}
}
}
return d[n-1][m-1];
}

int main()
{
cin >> n >> m;
for(int i = 0;i < n;++i){
for(int j = 0;j < m;++j){
cin >> g[i][j];
}
}
cout << bfs() << endl;
return 0;
}

如何输出路径?另开数组 pre[N] [N] 记录。

#include<bits/stdc++.h>
using namespace std;
const int N = 110;
int n,m,g[N][N],d[N][N];
typedef pair<int, int> PII;
PII q[N*N],pre[N][N]; //路劲记录数组pre

int bfs()
{
int hh = 0,tt = 0;
q[0] = {0,0};
memset(d, -1, sizeof d);
d[0][0] = 0;
int dx[4] = {-1, 0, 1, 0}, dy[4] = {0, 1, 0, -1};
while(hh <= tt){
auto t = q[hh++];
for(int i = 0;i < 4;++i){
int x = t.first + dx[i] ,y = t.second + dy[i];
if(x >= 0 && x < n && y >= 0 && y < m && g[x][y] == 0 && d[x][y] == -1){
d[x][y] = d[t.first][t.second] + 1;
pre[x][y] = t; //记录上一点
q[++tt] = {x,y};
}
}
}
//倒着输出路劲
int x = n-1,y = m-1;
while(x||y){
cout << x << ' '<< y << endl;
auto t = pre[x][y];
x = t.first,y = t.second;
}

return d[n-1][m-1];

}

int main()
{
cin >> n >> m;
for(int i = 0;i < n;++i){
for(int j = 0;j < m;++j){
cin >> g[i][j];
}
}
cout << bfs() << endl;
return 0;
}

845. 八数码 - AcWing题库

交换过程如下:

1 2 3   1 2 3   1 2 3   1 2 3
x 4 6 4 x 6 4 5 6 4 5 6
7 5 8 7 5 8 7 x 8 7 8 x

输入样例

2  3  4  1  5  x  7  6  8

输出样例

19

解析

基本思路:最小步数——BFS 。从起点到终点,步的权重为1,最少需要走多少步。

难点:

  1. 状态表示 3*3格 (队列 ?)
  2. 如何记录每个状态的距离 (dist ?)
"1234X5678"
queue<string> q
unordered_map<string,int>dist

处理状态

  1. 将字符串恢复3*3矩阵;
  2. 移动;
  3. 转化为字符串。
#include<bits/stdc++.h>
using namespace std;

int bfs(string start)
{
//目标状态
string goal = "12345678x";
//转移数组
int dx[4] = {-1,0,1,0},dy[4] = {0,1,0,-1};
//初始化队列和dist数组
queue<string>q;
unordered_map<string,int>dist;
q.push(start);
dist[start] = 0;

while(q.size())
{
auto t = q.front(); q.pop();
//记录当前状态的距离,如果是最终状态则返回距离
int distance = dist[t];
if(t == goal) return distance;
//查询x在字符串中的下标,然后转换为在矩阵中的坐标
int k = t.find('x');
int x = k/3,y = k%3;

for(int i = 0;i < 4;++i)
{
//求转移后x的坐标
int a = x + dx[i],b = y + dy[i];

if(a >= 0 && a < 3 && b >= 0 && b < 3)
{
swap(t[k],t[a*3+b]);
//当前状态是第一次遍历,记录距离,入队
if(!dist.count(t))
{
dist[t] = distance + 1;
q.push(t);
}
//还原状态,准备下一种转换情况
swap(t[k],t[a*3+b]);
}
}
}
//无法转换到目标状态,返回-1
return -1;

}

int main()
{
string start;
for(int i = 0;i < 9;++i)
{
char c;
cin >> c;
start += c;
}
cout << bfs(start) << endl;
return 0;
}

树与图的深度优先遍历

  1. 树与图的存储

    有向图的存储

    树是一种特殊的图,与图的存储方式相同。
    对于无向图中的边ab,存储两条有向边a->b, b->a。
    因此我们可以只考虑有向 图的存储

    1. 邻接矩阵:g[a][b] 存储边a->b ;不适合稀疏

    2. 邻接表

    // 对于每个点k,开一个单链表,存储k所有可以走到的点。
    //h[k]存储这个单链表的头结点;e[N]:当前节点对应图中编号。
    //即:e 存了节点值,ne 和 h 存了数组下标
    int h[N], e[N], ne[N], idx;

    // 添加一条边a->b
    void add(int a, int b)
    {
    e[idx] = b, ne[idx] = h[a], h[a] = idx ++ ;
    }
  2. 树与图的遍历

    1. 深度优先遍历

      深度优先遍历

      int dfs(int u)
      {
      st[u] = true; // st[u] 表示点u已经被遍历过
      for (int i = h[u]; i != -1; i = ne[i])
      {
      int j = e[i];
      if (!st[j]) dfs(j);
      }
      }
    2. 宽度优先遍历

      宽度优先遍历

      queue<int> q;
      st[1] = true; // 表示1号点已经被遍历过 bool数组:哪些点已经被遍历过
      q.push(1);

      while (q.size())
      {
      int t = q.front();
      q.pop();

      for (int i = h[t]; i != -1; i = ne[i])
      {
      int j = e[i];
      if (!st[j])
      {
      st[j] = true; // 表示点j已经被遍历过
      q.push(j);
      }
      }
      }

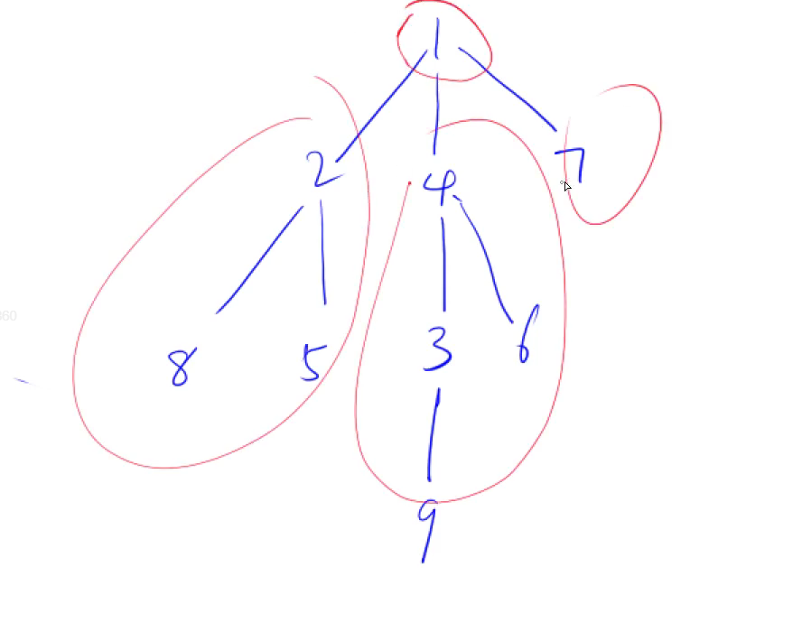
846. 树的重心 - AcWing题库

给定一颗树,树中包含 n 个结点(编号 1∼n)和 n−1 条无向边。请你找到树的重心,并输出将重心删除后,剩余各个连通块中点数的最大值。重心是指树中的一个结点,如果将这个点删除后,剩余各个连通块中点数的最大值最小,那么这个节点被称为树的重心。

输入样例

9
1 2
1 7
1 4
2 8
2 5
4 3
3 9
4 6

输出样例

4

解析

  • 题意

    1. 删除1,三个连通块。最多者为4。

      -1连通块

    2. 删除2,三个连通块。最多者为6。

      -2连通块

      ……

  • 分析

    求每一个子树点数大小,考虑深度优先遍历。

    下面的点数,递归,DFS过程中可以求出每个子树的点数。上面的点数,总数相减。

    如:删去4。每个子节点(集)为一部分,父节点及以上是另一部分。子节点的size可以返回得到,父可以总数相减。

    DFS

    树与图的遍历与边数和点数有关。时间复杂度BFS与DFS都是 O(m+n)

#include <bits/stdc++.h>
using namespace std;
const int N = 100010;
const int M = 2*N; //以有向图的格式存储无向图,所以每个节点至多对应2n-2条边
int h[N]; //邻接表存储树
int e[M],ne[M]; //存储元素及列表next值
int idx; //单链表指针
int n; //输入节点数
int ans = N; //返回结果
bool st[N]; //是否已被访问

void add(int a,int b){
e[idx] = b,ne[idx] = h[a],h[a] = idx++;
}

//以 u 为根的子树中点的数量
int dfs(int u){
int res = 0; //删掉某个节点之后,最大的连通块节点数
st[u] = true; //每个节点访问一次
int sum = 1; //当前那算一个点

//访问u的每个子节点
for(int i = h[u];i != -1;i = ne[i]){
int j = e[i]; //每个节点的编号不同,用编号为下标标记是否被访问过
if(!st[j]){
int s = dfs(j); // s 表当前子树的大小
res = max(res,s); // 记录最大联通子图的节点数
sum += s; // 以j为根的树的节点数(以儿子为根节点的子树是以u为根节点的子树的一部分)
}
}
res = max(res,n-sum); //注意是 -sum
ans = min(res,ans);
return sum;
}

int main()
{
cin >> n;
memset(h, -1, sizeof h);
for(int i = 0;i < n-1;++i){
int a,b;
cin >> a >> b;
add(a, b);add(b,a); //无向图
}

dfs(1); //任选一节点标号 <= n

cout << ans << endl;

return 0;
}

注:

  • 此处并不是回溯,每个点搜到一次即可。故无需还原为 false
  • 搜索是搜索图当中的节点编号,不是边。idx存的是边。

树与图的广度(宽度)优先遍历

847. 图中点的层次 - AcWing题库

输入格式
第一行包含两个整数 n 和 m。

接下来 m 行,每行包含两个整数 a 和 b,表示存在一条从 a 走到 b 的长度为 1 的边。

输出格式
输出一个整数,表示 1 号点到 n 号点的最短距离。

输入样例

4 5
1 2
2 3
3 4
1 3
1 4

输出样例

1

分析

  1. 点的权重都是1
  2. 最短路

——BFS

宽搜求最短距离,第一次扩展到某个点,即为起点到它的最短距离/路径。(后面再遍历就不是了)

用宽搜框架搜索图,流程即是将图的结构结合到宽搜上。

宽搜框架搜索图:

宽搜框架搜索图

#include<bits/stdc++.h>
using namespace std;

const int N = 100010;
int n,m; //点和边
int h[N],e[N],ne[N],idx; //邻接表
int d[N],q[N]; //距离 队列

void add(int a,int b)
{
e[idx] = b,ne[idx] = h[a],h[a] = idx++;
}

int bfs()
{
int hh = 0,tt = 0;
q[0] = 1;
memset(d,-1,sizeof d);

d[1] = 0; //d[i] 节点 i 的距离。易错为d[0] = 0。

while(hh <= tt)
{
int t = q[hh++];

for(int i = h[t];i != -1;i = ne[i])
{
int j = e[i];
if(d[j] == -1) //没有被访问过
{
d[j] = d[t] + 1;
q[++ tt] = j; //数组模拟队列 扩展每个点的临边
}
}
}

return d[n];
}

int main()
{
cin >> n >> m;

memset(h,-1,sizeof h);

for(int i = 0;i < m;++i)
{
int a,b;
cin >> a >> b;
add(a,b);
}

cout << bfs() << endl;

return 0;
}

拓扑排序

有向无环图(拓扑图)一定有拓扑序列,图中任意一对顶点u和v,若边 (u,v)∈E (G),u在线性序列中出现在v之前

所有边都是从前指向后

顶点 v 的入度是指以 v 为头的弧的数目;顶点v的出度(outdegree) 是指以 v 为尾的弧的数目。

拓扑系列的构建:

构建拓扑系列

模板

bool topsort()
{
int hh = 0, tt = -1;

// d[i] 存储点i的入度
for (int i = 1; i <= n; i ++ )
if (!d[i])
q[ ++ tt] = i;

while (hh <= tt)
{
int t = q[hh ++ ];

for (int i = h[t]; i != -1; i = ne[i])
{
int j = e[i];
if (-- d[j] == 0)
q[ ++ tt] = j;
}
}

// 如果所有点都入队了,说明存在拓扑序列;否则不存在拓扑序列。
return tt == n - 1;
}

注意:拓扑序不唯一。

848. 有向图的拓扑序列 - AcWing题库

输入格式

第一行包含两个整数 n 和 m。

接下来 m 行,每行包含两个整数 x 和 y,表示存在一条从点 x 到点 y 的有向边 (x,y)。

输出格式

共一行,如果存在拓扑序列,则输出任意一个合法的拓扑序列即可。

否则输出 −1。

输入样例

3 3
1 2
2 3
1 3

输出样例

1 2 3

解析

#include<bits/stdc++.h>
using namespace std;

const int N = 100010;
int e[N],ne[N],h[N],idx;
int n,m;
int q[N],d[N];

void add(int a,int b)
{
e[idx] = b,ne[idx] = h[a],h[a] = idx++;
}

bool toposort()
{
int hh = 0,tt = -1;
for(int i = 1;i <= n;++i)
{
if(!d[i])
q[++tt] = i; //将入度为零的 点 入队
}
while(hh <= tt)
{
int t = q[hh++];
for(int i = h[t];i != -1;i = ne[i])
{
int j = e[i];
d[j]--; //删除点t指向点j的 边
if(!d[j]) //如果 点j 的入度为零了,就将点j入队
q[++tt] = j;
}
}
return tt == n-1; //如果n个点都入队了话,那么该图为拓扑图,返回true
}

int main()
{
cin >> n >> m;
memset(h, -1, sizeof h); //注意:记得初始化h
for(int i = 0;i < m;++i)
{
int a,b;
cin >> a >> b;
add(a, b);
d[b]++;
}
if(toposort())
{
for(int i = 0;i < n;++i)
{
printf("%d ",q[i]); //队列中的点的次序就是拓扑序列
}
}
else
{
printf("-1");
}
return 0;
}

最短路

知识结构图

n 点数,m 边数。

  1. 单源最短路

    求从一个点到其他点的最短距离。

    1. 所有边权都是正数

      • 朴素的 Dijkstra 算法 (与边数无关,适合稠密图

        O(n^2)

      • 堆优化版的 Dijkstra 算法 (稀疏图)

        O(mlogn) —— 总共需要遍历 m 条边,插入数据修改小根堆的时间复杂度为 O(logn)

    2. 存在负权边

      • bellman-ford 算法

        O(nm)

      • spfa 算法

        一般O(m),最坏 O(nm)

  2. 多源汇最短路

    • Floyd 算法

      O(n^3)

    源点:起点

    汇点:终点

    其中一个点到另一个点的最短距离。

侧重于 建图 ,如何定义点和边。

最短路结构图

Dijkstra

模板

  1. 朴素dijkstra算法 (稠密图)

    基本思路

    1. 初始化距离 dist[1] = 0,dist[i] = 正无穷

    2. s : 当前已经确定最短距离的点

      for(i : 0 ~ n) n 次

      ​ t <----- 不在 s 中的,距离最近的点 n 次

      ​ s <----- t

      ​ 用 t 更新其他点的距离 dist[x] > dist[t] + w(权重) (如:从1号点走到x的路径长度是否大于1号点走到t加从t走到x,若满足,则更新) n 次

      每一次循环迭代都可以确定一个点的最短距离,循环 n 次确定 n 个点到起点的最短距离。总时间复杂度 O(n2) 。

    int g[N][N];  // 存储每条边
    int dist[N]; // 存储1号点到每个点的最短距离
    bool st[N]; // 存储每个点的最短路是否已经确定

    // 求1号点到n号点的最短路,如果不存在则返回-1
    int dijkstra()
    {
    memset(dist, 0x3f, sizeof dist);
    dist[1] = 0;

    for (int i = 0; i < n - 1; i ++ )
    {
    int t = -1; // 在还未确定最短路的点中,寻找距离最小的点
    for (int j = 1; j <= n; j ++ )
    if (!st[j] && (t == -1 || dist[t] > dist[j]))
    t = j;

    // 用t更新其他点的距离
    for (int j = 1; j <= n; j ++ )
    dist[j] = min(dist[j], dist[t] + g[t][j]);

    st[t] = true;
    }

    if (dist[n] == 0x3f3f3f3f) return -1;
    return dist[n];
    }
  2. 堆优化版dijkstra (稀疏图)

    堆优化迪杰斯特拉

    typedef pair<int, int> PII;

    int n; // 点的数量
    int h[N], w[N], e[N], ne[N], idx; // 邻接表存储所有边
    int dist[N]; // 存储所有点到1号点的距离
    bool st[N]; // 存储每个点的最短距离是否已确定

    // 求1号点到n号点的最短距离,如果不存在,则返回-1
    int dijkstra()
    {
    memset(dist, 0x3f, sizeof dist);
    dist[1] = 0;
    priority_queue<PII, vector<PII>, greater<PII>> heap;
    heap.push({0, 1}); // first存储距离,second存储节点编号

    while (heap.size())
    {
    auto t = heap.top();
    heap.pop();

    int ver = t.second, distance = t.first;

    if (st[ver]) continue;
    st[ver] = true;

    for (int i = h[ver]; i != -1; i = ne[i])
    {
    int j = e[i];
    if (dist[j] > distance + w[i])
    {
    dist[j] = distance + w[i];
    heap.push({dist[j], j});
    }
    }
    }

    if (dist[n] == 0x3f3f3f3f) return -1;
    return dist[n];
    }

849. Dijkstra求最短路 I - AcWing题库

输入格式

第一行包含整数 n 和 m。

接下来 m 行每行包含三个整数 x,y,z,表示存在一条从点 x 到点 y 的有向边,边长为 z。

输出格式

输出一个整数,表示 1 号点到 n 号点的最短距离。

如果路径不存在,则输出 −1。

输入样例

3 3
1 2 2
2 3 1
1 3 4

输出样例

3

数据范围

1≤n≤500
1≤m≤105

解析

n次迭代

稠密图,用邻接矩阵存;稀疏图,邻接表。

#include<bits/stdc++.h>
using namespace std;
const int N = 510; //500点 100000边 稠密图 邻接矩阵

int n,m;
int g[N][N]; //邻接矩阵
int dist[N]; //当前的最短距离
bool st[N]; //每个点最短路是否已经确定

int Dijkstra()
{
////1.初始化
memset(dist,0x3f,sizeof dist); //0x3f代表无限大

dist[1] = 0; //第一个点到自身的距离为0

////2.循环 n 次确定 n 个点到起点的最短距离
for(int i = 1;i <= n;++i) //n个点 n次迭代
{
int t = -1; //t存储当前访问的点
for(int j = 1;j <= n;++j) //找到最短距离的点
{
if(!st[j] && (t == -1 || dist[t] > dist[j])) //在所有[未确定]的点中找到dist最小的点
t = j;
}
//if(t == n) break; //可加上优化
st[t] = true; //当前已经确定最短距离的点
for(int j = 1;j <= n;++j) //用 t 更新其他点的最短距离
{
dist[j] = min(dist[j],dist[t] + g[t][j]);
}
}
if(dist[n] == 0x3f3f3f3f) return -1;
return dist[n];
}

int main()
{
cin >> n >> m;
memset(g,0x3f,sizeof g);
while (m -- )
{
int x,y,z;
cin >> x >> y >> z;
g[x][y] = min(g[x][y],z);
}
cout << Dijkstra() << endl;
return 0;
}

850. Dijkstra求最短路 II - AcWing题库

输入格式

第一行包含整数 n 和 m。

接下来 m 行每行包含三个整数 x,y,z,表示存在一条从点 x 到点 y 的有向边,边长为 z。

输出格式

输出一个整数,表示 1 号点到 n 号点的最短距离。

如果路径不存在,则输出 −1。

输入样例

3 3
1 2 2
2 3 1
1 3 4

输出样例

3

数据范围

1≤ n,m ≤1.5×105

解析

注:迪杰斯特拉不能用于带负权边原因 AcWing 853. 有边数限制的最短路 - AcWing

#include<bits/stdc++.h>
using namespace std;

const int N = 150010;
typedef pair<int, int> PII; //<点的距离,点>
int h[N],e[N],ne[N],idx; //稀疏图:邻接表
int w[N]; //权重
int dist[N];
bool st[N]; //点的最短路是否确定
int n,m;

void add(int x,int y,int z)
{
// 有重边也不要紧,假设 1->2 有权重为 2 和 3 的边,再遍历到点 1 的时候 2 号点的距离会更新两次放入堆中
// 堆中会有很多冗余的点,但是在弹出的时候还是会弹出最小值 2+x (x为之前确定的最短路径),
// 并标记 st 为 true,所以下一次弹出 3+x 会 continue 不会向下执行。
e[idx] = y,w[idx] = z,ne[idx] = h[x],h[x] = idx++;
}

int Diijkstra()
{
memset(dist,0x3f,sizeof dist);
dist[1] = 0;
priority_queue<PII,vector<PII>,greater<PII>> heap; //小根堆 根据距离排序
heap.push({0,1});
while(heap.size())
{
auto t = heap.top();heap.pop(); // 取不在集合S中距离最短的点
int distance = t.first,ver = t.second;
if(st[ver] == true) continue;
st[ver] = true;
for(int i = h[ver];i != -1;i = ne[i])
{
int j = e[i]; // i只是个下标,e中在存的是i这个下标对应的点
if(dist[j] > dist[ver] + w[i])
{
dist[j] = dist[ver] + w[i];
heap.push({dist[j],j});
}
}
}
if(dist[n] == 0x3f3f3f3f) return -1;
return dist[n];
}

int main()
{
cin >> n >> m;
memset(h,-1,sizeof h);

while(m--)
{
int x,y,z;
cin >> x >> y >> z;
add(x,y,z);
}
cout << Diijkstra() << endl;
return 0;
}

bellman-ford

模板

复杂度 O(nm)。

贝尔曼算法

迭代 k 次 的含义:从1号点经过不超过 k 条边走到每个点的最短距离。(如果第 n 次迭代又更新了某些边,说明存在一条最短路径有 n 条边——意味有 n+1 个点,即一定有一个点一样,即路径存在环,而环又是更新过的,即存在负环)

有负权边不一定有最短路,可能负无穷,能求出最短路没有负权回路。

负权回路

负权回路不影响的情况

int n, m;		// n表示点数,m表示边数
int dist[N]; // dist[x]存储1到x的最短路距离

struct Edge // 边,a表示出点,b表示入点,w表示边的权重
{
int a, b, w;
}edges[M];

// 求1到n的最短路距离,如果无法从1走到n,则返回-1。
int bellman_ford()
{
memset(dist, 0x3f, sizeof dist);
dist[1] = 0;

// 如果第n次迭代仍然会松弛三角不等式,就说明存在一条长度是n+1的最短路径,由抽屉原理,路径中至少存在两个相同的点,说明图中存在负权回路。
for (int i = 0; i < n; i ++ )
{
for (int j = 0; j < m; j ++ )
{
int a = edges[j].a, b = edges[j].b, w = edges[j].w;
if (dist[b] > dist[a] + w)
dist[b] = dist[a] + w;
}
}

if (dist[n] == 0x3f3f3f3f) return -1;
return dist[n];
}

853. 有边数限制的最短路 - AcWing题库

给定一个 n 个点 m 条边的有向图,图中可能存在重边和自环, 边权可能为负数。(==不能迪杰斯特拉==)

请你求出从 1 号点到 n 号点的最多经过 k 条边(==负环不能无限转==)的最短距离,如果无法从 1 号点走到 n 号点,输出 impossible。

注意:图中可能 存在负权回路(==不一定存在最短路==)

输入格式

第一行包含三个整数 n,m,k。

接下来 m 行,每行包含三个整数 x,y,z,表示存在一条从点 x 到点 y 的有向边,边长为 z。

点的编号为 1∼n。

输出格式

输出一个整数,表示从 1 号点到 n 号点的最多经过 k 条边的最短距离。

如果不存在满足条件的路径,则输出 impossible。

数据范围

1≤n,k≤500,
1≤m≤10000,
1≤x,y≤n,
任意边长的绝对值不超过 10000

输入样例

3 3 1
1 2 1
2 3 1
1 3 3

输出样例

3

解析

备份更新:防止出现串联影响结果。使用备份更新

备份跟新

负环不存在最短路。

负环

#include<bits/stdc++.h>
using namespace std;

const int N = 510,M = 10010;
struct Edge{
int a,b,c;
}edges[M];

int n,m,k; //最多经过k条边
int dist[N];
int last[N]; //备份dist数组,避免更新时的串联干扰

void bellman_ford()
{
memset(dist,0x3f,sizeof dist);
dist[1] = 0;

for(int i = 0;i < k;++i)
{
memcpy(last,dist,sizeof dist);
for(int j = 0;j < m;++j)
{
auto e = edges[j];
dist[e.b] = min(dist[e.b],last[e.a] + e.c);
}
}
}

int main()
{
cin >> n >> m >> k;
for(int i = 0;i < m;++i)
{
int a,b,c;
cin >> a >> b >> c;
edges[i] = {a,b,c};
}

bellman_ford();

if(dist[n] > 0x3f3f3f3f / 2) cout << "impossible"; //可能为正负无穷±权,故/2
else printf("%d\n",dist[n]);
return 0;
}

spfa

模板

针对 bellman-ford算法的更新边操作使用队列进行优化。

队列所存:待更新的点的集合。即队列里所存的是所有变小的节点(a),只要一个节点变小了就将它放入队列,用以更新后面所有的后继。

一个点如果没有被更新过,他更新别人是没有效果的。

队列优化

(加入前判断一下,若队列有 b 了就不再重复加入)

  1. spfa 算法

    int n;		// 总点数
    int h[N], w[N], e[N], ne[N], idx; // 邻接表存储所有边
    int dist[N]; // 存储每个点到1号点的最短距离
    bool st[N]; // 存储每个点是否在队列中

    // 求1号点到n号点的最短路距离,如果从1号点无法走到n号点则返回-1
    int spfa()
    {
    memset(dist, 0x3f, sizeof dist);
    dist[1] = 0;

    queue<int> q;
    q.push(1);
    st[1] = true;

    while (q.size())
    {
    auto t = q.front();
    q.pop();

    st[t] = false;

    for (int i = h[t]; i != -1; i = ne[i])
    {
    int j = e[i];
    if (dist[j] > dist[t] + w[i])
    {
    dist[j] = dist[t] + w[i];
    if (!st[j]) // 如果队列中已存在j,则不需要将j重复插入
    {
    q.push(j);
    st[j] = true;
    }
    }
    }
    }

    if (dist[n] == 0x3f3f3f3f) return -1;
    return dist[n];
    }
  2. spfa判断图中是否存在负环

    判断负环

    int n;		// 总点数
    int h[N], w[N], e[N], ne[N], idx; // 邻接表存储所有边
    int dist[N], cnt[N]; // dist[x]存储1号点到x的最短距离,cnt[x]存储1到x的最短路中经过的点数
    bool st[N]; // 存储每个点是否在队列中

    // 如果存在负环,则返回true,否则返回false。
    bool spfa()
    {
    // 不需要初始化dist数组
    // 原理:如果某条最短路径上有n个点(除了自己),那么加上自己之后一共有n+1个点,由抽屉原理一定有两个点相同,所以存在环。

    queue<int> q;
    for (int i = 1; i <= n; i ++ )
    {
    q.push(i);
    st[i] = true;
    }

    while (q.size())
    {
    auto t = q.front();
    q.pop();

    st[t] = false;

    for (int i = h[t]; i != -1; i = ne[i])
    {
    int j = e[i];
    if (dist[j] > dist[t] + w[i])
    {
    dist[j] = dist[t] + w[i];
    cnt[j] = cnt[t] + 1;
    if (cnt[j] >= n) return true; // 如果从1号点到x的最短路中包含至少n个点(不包括自己),则说明存在环
    if (!st[j])
    {
    q.push(j);
    st[j] = true;
    }
    }
    }
    }

    return false;
    }

851. spfa求最短路 - AcWing题库

给定一个 n 个点 m 条边的有向图,图中可能存在重边和自环, 边权可能为负数。请你求出 1 号点到 n 号点的最短距离,如果无法从 1 号点走到 n 号点,则输出 impossible。数据保证不存在负权回路。

输入格式

第一行包含整数 n 和 m。

接下来 m 行每行包含三个整数 x,y,z,表示存在一条从点 x 到点 y 的有向边,边长为 z。

输出格式

输出一个整数,表示 1 号点到 n 号点的最短距离。

如果路径不存在,则输出 impossible。

数据范围

1≤n,m≤105,图中涉及边长绝对值均不超过 10000。

输入样例

3 3
1 2 5
2 3 -3
1 3 4

输出样例

2

解析

#include<bits/stdc++.h>
using namespace std;

const int N = 100010;
int e[N],w[N],ne[N],h[N],idx; //邻接表
int dist[N]; //每个点到源点距离
int st[N]; //是否在队列
int n,m;

void add(int a,int b,int c)
{
e[idx] = b,w[idx] = c,ne[idx] = h[a],h[a] = idx++;
}

int spfa()
{
memset(dist,0x3f,sizeof dist);
dist[1] = 0;

queue<int>q;
q.push(1);
st[1] = true;

while(q.size())
{
int t = q.front();q.pop();
st[t] = false; //从队列中取出来之后该节点st被标记为false,代表之后该节点如果发生更新可再次入队
for(int i = h[t];i != -1;i = ne[i])
{
int j = e[i];
if(dist[j] > dist[t] + w[i])
{
dist[j] = dist[t] + w[i];
if(!st[j]) //当前已经加入队列的结点,无需再次加入队列,即便发生了更新也只用更新数值即可,重复添加降低效率
{
q.push(j);
st[j] = true;
}
}
}
}
return dist[n];
}

int main()
{
cin >> n >> m;
memset(h,-1,sizeof h);
for(int i = 0;i < m;++i)
{
int a,b,c;
cin >> a >> b >> c;
add(a,b,c);
}
int res = spfa();
if(res == 0x3f3f3f3f) cout << "impossible";
else cout << res;
return 0;
}

852. spfa判断负环 - AcWing题库

给定一个 n 个点 m 条边的有向图,图中可能存在重边和自环, 边权可能为负数。请你判断图中是否存在负权回路。

输入格式

第一行包含整数 n 和 m。

接下来 m 行每行包含三个整数 x,y,z,表示存在一条从点 x 到点 y 的有向边,边长为 z。

输出格式

如果图中存在负权回路,则输出 Yes,否则输出 No。

数据范围

1≤n≤2000,1≤m≤10000,图中涉及边长绝对值均不超过 10000。

输入样例

3 3
1 2 -1
2 3 4
3 1 -4

输出样例

Yes

解析

#include<bits/stdc++.h>
using namespace std;

const int N = 2010,M = 10010;
int n,m;
int e[M],ne[M],w[M],h[M],idx; //注:是 M 不是 N
int dist[N],cnt[N];
bool st[N];

void add(int a,int b,int c)
{
e[idx] = b,w[idx] = c,ne[idx] = h[a],h[a] = idx++;
}

bool spfa()
{
queue<int>q;

//不能只放一号点进去。题目“是否存在负环”,不是“是否存在从1开始的负环”。可能存在一负环1号点到不了。应在开始将所有点都放入队列。
for(int i = 1;i <= n;++i)
{
st[i] = true;
q.push(i);
}

while(q.size())
{
int t = q.front();q.pop();
st[t] = false;
for(int i = h[t];i != -1; i = ne[i])
{
int j = e[i];
if(dist[j] > dist[t] + w[i])
{
dist[j] = dist[t] + w[i];
cnt[j] = cnt[t] + 1;
if(cnt[j] >= n) return true;
if(!st[j])
{
q.push(j);
st[j] = true;
}
}
}
}
return false;
}

int main()
{
scanf("%d%d", &n, &m);

memset(h, -1, sizeof h);

for(int i = 0;i < m;++i)
{
int a,b,c;
scanf("%d%d%d", &a, &b,&c);
add(a, b, c);
}
if(spfa()) cout << "Yes";
else cout << "No";
return 0;
}

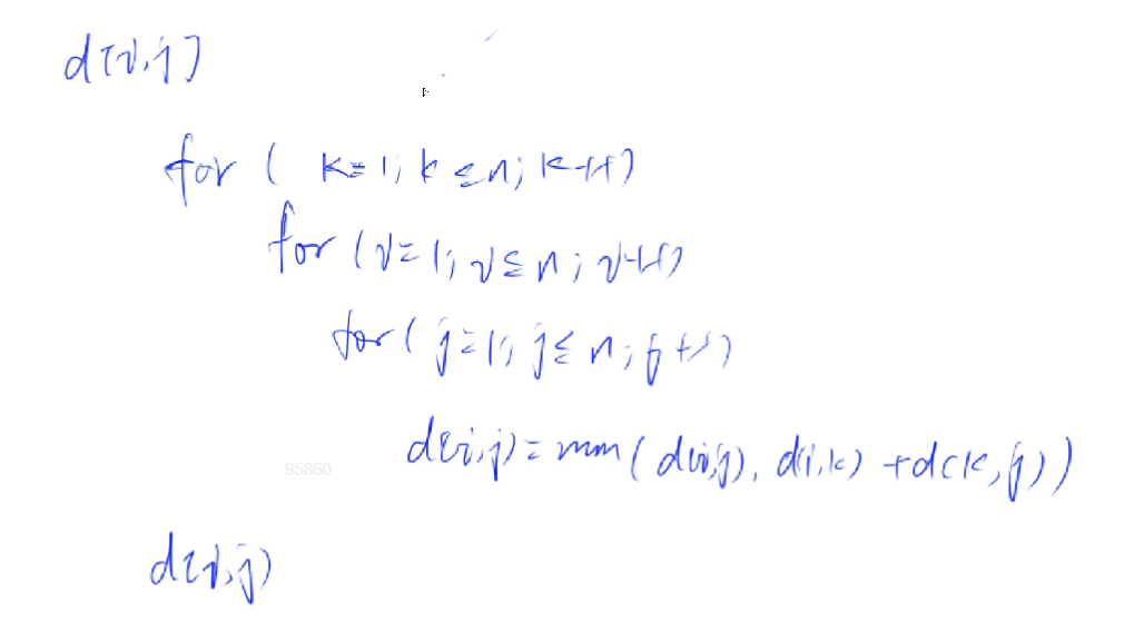
Floyd

模板

邻接矩阵存。

Floyd

//初始化
for (int i = 1; i <= n; i ++ )
for (int j = 1; j <= n; j ++ )
if (i == j) d[i][j] = 0;
else d[i][j] = INF;

// 算法结束后,d[a][b]表示a到b的最短距离
void floyd()
{
for (int k = 1; k <= n; k ++ )
for (int i = 1; i <= n; i ++ )
for (int j = 1; j <= n; j ++ )
d[i][j] = min(d[i][j], d[i][k] + d[k][j]);
}

854. Floyd求最短路 - AcWing题库

给定一个 n 个点 m 条边的有向图,图中可能存在重边和自环,边权可能为负数。再给定 k 个询问,每个询问包含两个整数 x 和 y,表示查询从点 x 到点 y 的最短距离,如果路径不存在,则输出 impossible。

数据保证图中不存在负权回路。(==否则最短距离负无穷==)

输入格式

第一行包含三个整数 n,m,k。

接下来 m 行,每行包含三个整数 x,y,z,表示存在一条从点 x 到点 y 的有向边,边长为 z。

接下来 k 行,每行包含两个整数 x,y,表示询问点 x 到点 y 的最短距离。

输出格式

共 k 行,每行输出一个整数,表示询问的结果,若询问两点间不存在路径,则输出 impossible。

数据范围

1≤n≤200,
1≤k≤n2
1≤m≤20000,
图中涉及边长绝对值均不超过 10000。

输入样例

3 3 2
1 2 1
2 3 2
1 3 1
2 1
1 3

输出样例

impossible
1

解析

#include<bits/stdc++.h>
using namespace std;
int n,m,Q;
const int N = 210,INF = 1e9;
int dist[N][N];

void Floyd()
{
//基于DP
for(int k = 1;k <= n;++k)
{
for(int i = 1;i <= n;++i)
{
for(int j = 1;j <= n;++j)
{
dist[i][j] = min(dist[i][j],dist[i][k]+dist[k][j]);
}
}
}
}

int main()
{
cin >> n >> m >> Q;

//初始化邻接矩阵
for(int i = 1;i <= n;++i)
{
for(int j = 1;j <= n;++j)
{
if(i == j) dist[i][j] = 0;
else dist[i][j] = INF;
}
}

//赋值
for(int i = 0;i < m;++i)
{
int a,b,c;
cin >> a >> b >> c;
dist[a][b] = min(dist[a][b],c);
}

Floyd();

while(Q--)
{
int a,b;
cin >> a >> b;
if(dist[a][b] > INF/2) cout << "impossible" << endl;
else cout << dist[a][b] << endl;
}
return 0;
}

最小生成树

动画讲解 最小生成树(Kruskal(克鲁斯卡尔)和Prim(普里姆))算法动画演示_哔哩哔哩_bilibili

建图过程。描述算法思路与步骤。

最小生成树

最小生成树问题一般对应无向图

  1. Prim 算法 O(n^2)

    1. 朴素版 (稠密图)
    2. 堆优化版 (稀疏图) O(mlogn) 较少使用
  2. Kruskal 算法 (稀疏图) O(mlogm)

二分图

判别:染色法。DFS (线性 O(n+m))

求:匈牙利算法 (最坏 O(mn),一般远小于O(mn))

结构

Prim

  1. 朴素 Prim

    s:当前已经在连通块中的所有点

    朴素 Prim

  2. 堆优化

模板

int n;				// n表示点数
int g[N][N]; // 邻接矩阵,存储所有边
int dist[N]; // 存储其他点到当前最小生成树的距离
bool st[N]; // 存储每个点是否已经在生成树中
// 如果图不连通,则返回INF(值是0x3f3f3f3f), 否则返回最小生成树的树边权重之和
int prim()
{
memset(dist, 0x3f, sizeof dist);

int res = 0;
for (int i = 0; i < n; i ++ )
{
int t = -1;
for (int j = 1; j <= n; j ++ )
if (!st[j] && (t == -1 || dist[t] > dist[j]))
t = j;

if (i && dist[t] == INF) return INF;

if (i) res += dist[t];
st[t] = true;

for (int j = 1; j <= n; j ++ ) dist[j] = min(dist[j], g[t][j]);
}

return res;
}

858. Prim算法求最小生成树 - AcWing题库

给定一个 n 个点 m 条边的无向图,图中可能存在重边和自环,边权可能为负数。

求最小生成树的树边权重之和,如果最小生成树不存在则输出 impossible

给定一张边带权的无向图 G=(V,E),其中 V 表示图中点的集合,E 表示图中边的集合,n=|V|,m=|E|

V 中的全部 n 个顶点和 En−1 条边构成的无向连通子图被称为 G 的一棵生成树,其中边的权值之和最小的生成树被称为无向图 G 的最小生成树。

输入格式

第一行包含两个整数 n 和 m。

接下来 m 行,每行包含三个整数 u,v,w,表示点 u 和点 v 之间存在一条权值为 w 的边。

**输出格式

共一行,若存在最小生成树,则输出一个整数,表示最小生成树的树边权重之和,如果最小生成树不存在则输出 impossible。

数据范围

1≤n≤500,
1≤m≤105,
图中涉及边的边权的绝对值均不超过 10000。

输入样例

4 5
1 2 1
1 3 2
1 4 3
2 3 2
3 4 4

输出样例

6

解析

#include<bits/stdc++.h>
using namespace std;

const int N = 510,INF = 0x3f3f3f3f;
int n,m;
int g[N][N];
int dist[N];
bool st[N];

int prim()
{
//初始化距离
memset(dist,0x3f,sizeof dist);

int res = 0;
for(int i = 0;i < n;++i)
{
//找到集合外距离最近点
int t = -1;
for(int j = 1;j <= n;++j)
{
if(!st[j] && (t == -1 || dist[j] < dist[t]))
t = j;
}

if(i && dist[t] == INF) return INF;

if(i) res += dist[t]; //自环不能加入最小生成树中。若先更新在累加就不对了
st[t] = true;

//用 t 更新其他点到 集合 的距离
for(int j = 1;j <= n;++j) dist[j] = min(dist[j],g[t][j]);
}
return res;
}

int main()
{
cin >> n >> m;
//初始化邻接矩阵
memset(g,0x3f,sizeof g);
//赋值 无向图
while (m -- )
{
int a,b,c;
cin >> a >> b >> c;
g[a][b] = g[b][a] = min(g[a][b],c);
}

int t = prim();

if(t == INF) cout << "impossible";
else cout << t;

return 0;
}

Kruskal

模板

Kruskal

②结合了并查集的方法,类似 837. 连通块中点的数量 - AcWing题库

int n, m;		// n是点数,m是边数
int p[N]; // 并查集的父节点数组
struct Edge // 存储边
{
int a, b, w;
bool operator< (const Edge &W)const
{
return w < W.w;
}
}edges[M];

int find(int x) // 并查集核心操作
{
if (p[x] != x) p[x] = find(p[x]);
return p[x];
}

int kruskal()
{
sort(edges, edges + m);

for (int i = 1; i <= n; i ++ ) p[i] = i; // 初始化并查集

int res = 0, cnt = 0;
for (int i = 0; i < m; i ++ )
{
int a = edges[i].a, b = edges[i].b, w = edges[i].w;

a = find(a), b = find(b);
if (a != b) // 如果两个连通块不连通,则将这两个连通块合并
{
p[a] = b;
res += w;
cnt ++ ;
}
}

if (cnt < n - 1) return INF;
return res;
}

859. Kruskal算法求最小生成树 - AcWing题库

给定一个 n 个点 m 条边的无向图,图中可能存在重边和自环,边权可能为负数。求最小生成树的树边权重之和,如果最小生成树不存在则输出 impossible。

给定一张边带权的无向图 G=(V,E),其中 V 表示图中点的集合,E 表示图中边的集合,n=|V|,m=|E|。

由 V 中的全部 n 个顶点和 E 中 n−1 条边构成的无向连通子图被称为 G 的一棵生成树,其中边的权值之和最小的生成树被称为无向图 G 的最小生成树。

输入格式

第一行包含两个整数 n 和 m。

接下来 m 行,每行包含三个整数 u,v,w,表示点 u 和点 v 之间存在一条权值为 w 的边。

输出格式

共一行,若存在最小生成树,则输出一个整数,表示最小生成树的树边权重之和,如果最小生成树不存在则输出 impossible。

数据范围

1≤n≤105,
1≤m≤2∗105,
图中涉及边的边权的绝对值均不超过 1000。

输入样例

4 5
1 2 1
1 3 2
1 4 3
2 3 2
3 4 4

输出样例

6

解析

#include<bits/stdc++.h>
using namespace std;
const int N = 100010,M = 200010;
int n,m;
int p[N],cnt[N];

struct Edges
{
int a,b,w;

bool operator< (const Edges& e) const
{
return w < e.w;
}
}edges[M];

int find(int x) //并查集模板
{
if(p[x] != x) p[x] = find(p[x]); //注:是p[x]
return p[x];
}

int Kruskal()
{
sort(edges,edges+m);

int res = 0,cnt = 0; //res记录最小生成树的树边权重之和,cnt记录全部加入到树的集合中边的数量
for(int i = 1;i <= n;++i) p[i] = i;

for(int i = 0;i < m;++i)
{
int a = edges[i].a,b = edges[i].b,w = edges[i].w;

a = find(a),b = find(b);
/*
具体可以参考连通块中点的数量,如果a和b已经在一个集合当中了,说明这两个点已经被一种方式连接起来了,
如果加入a-b这条边,会导致集合中有环的生成,而树中不允许有环生成,所以一个连通块中的点的数量假设
为x,那么里面x个节点应该是被串联起来的,有x-1条边,所以只有当a,b所属的集合不同时,才能将a-b这条
边加入到总集合当中去
*/
if(a != b)
{
p[a] = b; //集合连接
res += w; //权重相加
cnt ++; //边数加1
}
}
if(cnt < n-1) return 0x3f3f3f3f;
return res;
}

int main()
{
scanf("%d%d", &n, &m);
for(int i = 0;i < m;++i)
{
int a,b,w;
scanf("%d%d%d", &a, &b,&w);
edges[i] = {a,b,w};
}

int t = Kruskal();

if(t == 0x3f3f3f3f) cout << "impossible";
else printf("%d\n", t);

return 0;
}

染色法判定二分图

无向图G为二分图的充分必要条件是,G至少有两个顶点,且其所有回路的长度均为偶数。

二分图

非二分图

反证法:图中存在奇数环不是二分图

由于图中不含奇数环,所以染色过程中一定是没有矛盾的。即:如果一个图用染色法没有矛盾发生,那么他是一个二分图;如果染色过程出现矛盾,则不是二分图。

染色法

模板

int n;		// n表示点数
int h[N], e[M], ne[M], idx; // 邻接表存储图
int color[N]; // 表示每个点的颜色,-1表示为染色,0表示白色,1表示黑色
// 参数:u表示当前节点,father表示当前节点的父节点(防止向树根遍历),c表示当前点的颜色
bool dfs(int u, int father, int c)
{
color[u] = c;
for (int i = h[u]; i != -1; i = ne[i])
{
int j = e[i];
if (color[j] == -1)
{
if (!dfs(j, u, !c)) return false;
}
else if (color[j] == c) return false;
}

return true;
}

bool check()
{
memset(color, -1, sizeof color);
bool flag = true;
for (int i = 1; i <= n; i ++ )
if (color[i] == -1)
if (!dfs(i, -1, 0))
{
flag = false;
break;
}
return flag;
}

860. 染色法判定二分图 - AcWing题库

给定一个 n 个点 m 条边的无向图,图中可能存在重边和自环。

请你判断这个图是否是二分图。

输入格式

第一行包含两个整数 n 和 m。

接下来 m 行,每行包含两个整数 u 和 v,表示点 u 和点 v 之间存在一条边。

输出格式

如果给定图是二分图,则输出 Yes,否则输出 No。

数据范围

1≤n,m≤105

输入样例

4 4
1 3
1 4
2 3
2 4

输出样例

Yes

解析

#include<bits/stdc++.h>
using namespace std;

const int N = 100010,M = 200010; // 由于是无向图, 顶点数最大是N,那么边数M最大是顶点数的2倍
int n,m;
int e[M],ne[M],h[N],idx; //注:e 和 ne 是 M
int st[N];

void add(int a,int b)
{
e[idx] = b,ne[idx] = h[a],h[a] = idx++; //邻接表模板
}

bool dfs(int u,int color)
{
st[u] = color;
for(int i = h[u];i != -1;i = ne[i])
{
int j = e[i];
if(!st[j])
{
if(!dfs(j,3 - color)) return false; //染色可以使用1和2区分不同颜色,用0表示未染色。3 - color表示染色从1 ~ 2
}
else
{
if(st[j] == color) return false; //只有某个点染色失败才能立刻break/return。染色失败相当于存在相邻的2个点染了相同的颜色
}
}
return true;
}

int main()
{
cin >> n >> m;

memset(h,-1,sizeof h); //注:初始化

while(m--)
{
int a,b;
scanf("%d%d", &a, &b);
add(a,b),add(b,a);
}

bool flag = true;
for(int i = 1;i <= n;++i) //遍历所有点,每次将未染色的点进行dfs, (初始)默认染成 1 或者 2
{
if(!st[i])
{
if(!dfs(i,1))
{
flag = false;
break;
}
}
}

if(flag) cout << "Yes";
else cout << "No";
return 0;
}

扩展: 257. 关押罪犯 - AcWing题库

匈牙利算法

二分图中最多能找到多少条没有公共端点的边。

模板

int n;		// n表示点数
int h[N], e[M], ne[M], idx; // 邻接表存储所有边
int match[N]; // 存储每个点当前匹配的点
bool st[N]; // 表示每个点是否已经被遍历过,防止重复搜索一个点

bool find(int x)
{
for (int i = h[x]; i != -1; i = ne[i])
{
int j = e[i];
if (!st[j])
{
st[j] = true;
if (match[j] == 0 || find(match[j]))
{
match[j] = x;
return true;
}
}
}

return false;
}

// 求最大匹配数
int res = 0;
for (int i = 1; i <= n; i ++ )
{
memset(st, false, sizeof st);
if (find(i)) res ++ ;
}

861. 二分图的最大匹配 - AcWing题库

给定一个二分图,其中左半部包含 n1 个点(编号 1∼n1),右半部包含 n2 个点(编号 1∼n2),二分图共包含 m 条边。

数据保证任意一条边的两个端点都不可能在同一部分中。

请你求出二分图的最大匹配数。

二分图的匹配:给定一个二分图 G,在 G 的一个子图 M 中,M 的边集 {E} 中的任意两条边都不依附于同一个顶点,则称 M 是一个匹配。

二分图的最大匹配:所有匹配中包含边数最多的一组匹配被称为二分图的最大匹配,其边数即为最大匹配数。

输入格式

第一行包含三个整数 n1、 n2 和 m。

接下来 m 行,每行包含两个整数 u 和 v,表示左半部点集中的点 u 和右半部点集中的点 v 之间存在一条边。

输出格式

输出一个整数,表示二分图的最大匹配数。

数据范围

1≤n1,n2≤500,
1≤u≤n1,
1≤v≤n2,
1≤m≤$10^5$

解析

#include<bits/stdc++.h>
using namespace std;

const int N = 100010,M = 200010;
int e[M],ne[M],h[N],idx; // 邻接表
int match[N]; // 存储(R)每个点当前匹配的(L)点
bool st[N]; // 表示(R)每个点是否已经被遍历过,防止重复搜索一个点

void add(int a,int b)
{
e[idx] = b,ne[idx] = h[a],h[a] = idx++;
}

bool find(int x)
{
for(int i = h[x];i != -1;i = ne[i])
{
int j = e[i];
if(!st[j])
{
st[j] = true;
if(match[j] == 0 || find(match[j]))
//此处递归的解析:(当前L统一表示L1,R的对象统一L2表示。match[]表示该R的对象是谁,st[]该R是否被该L匹配过)
//①L2只指了一个R,L1就只能找下一个R。即此for循环
//②
//1. L2有另一个R2(能和R2匹配),L1就给L2说:“换一个”,然后该L1就和该R在一起
//2. L2就去重新找对象,此时L1的st[]是传给L2当参数用了,
//但不会对L2重新找对象有影响,因为L1遍历过的R肯定都有对象了,L2也就不用再去尝试;
//而L1没匹配过的,L2就可以从中选择自己的匹配项挨个匹配
{
match[j] = x;
return true;
}
}
}
return false;
}

int main()
{
int n1,n2,m;
cin >> n1 >> n2 >> m;
memset(h, -1, sizeof h);
while (m -- )
{
int a,b;
cin >> a >> b;
add(a, b); //虽然是无向边,但寻找过程只早左边每个点所指向的所有边,不会找右边点的所有边。故存储时只存左边指向右边即可
}

// 求最大匹配数
int res = 0; //res 存的是匹配数量
for(int i = 1;i <= n1;++i)
{
memset(st,false,sizeof st);
if(find(i)) res++;
}
cout << res;

return 0;
}

扩展:372. 棋盘覆盖 - AcWing题库

chapter 3 END。